Home
Services
Tenders
Pricing
Blogs
About us
Contact Us
Login
Register
+923004399140
+923434449000
My Account
Contact Us
About us
Blogs
Pricing
Tenders
Services
Home
Pricing
Tender
Categories
Departments
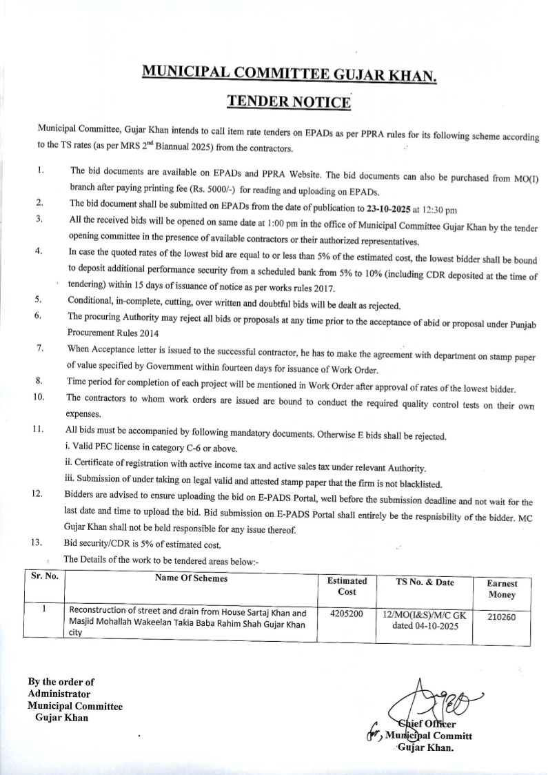
TS-284759824
Title
WORK REQUIRED
Tender Description
Category
Water Supply Scheme / Drains / Sewerage, Roads, Repair & Maintenance, Engineering, Construction, Buildings
Source
website - others
Department
Muncipal Committee
Advertise Date
2025-10-06
Opening Date
2025-10-23