Home
Services
Tenders
Pricing
Blogs
About us
Contact Us
Login
Register
+923004399140
+923434449000
My Account
Contact Us
About us
Blogs
Pricing
Tenders
Services
Home
Pricing
Tender
Categories
Departments
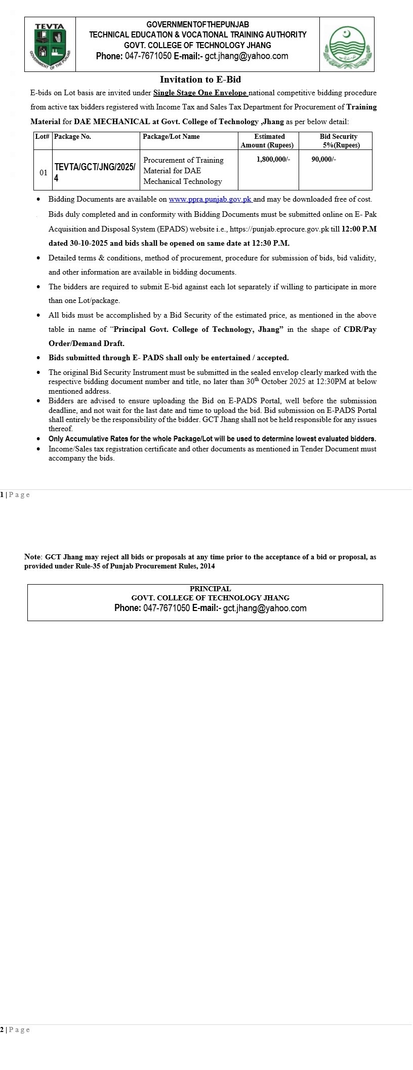
TS-02378524869
Title
ITEM REQUIRED
Tender Description
Category
Training Material , General Order Supply
Source
website - others
Department
TEVTA
Advertise Date
2025-10-14
Opening Date
2025-10-30